A92958.「BalticOI 2013」Ball Machine
普及+/提高
官方
通过率:0%
时间限制:1.00s
内存限制:128MB
题目描述
有一个装球机器,构造可以看作是一棵树。有下面两种操作:
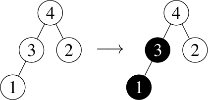
从根放入一个球,只要下方有空位,球会沿着树滚下。如果同时有多个点可以走,那么会选择编号最小的节点所在路径的方向。比如依次在树根 4 放 2 个球,第一个球会落到 1,第二个会落到 3:

从某个位置拿走一个球,那么它上方的球会落下来。比如依次拿走 5,7,8 三个球:

输入格式
第一行:球的个数 N,操作个数 Q(N,Q≤105)
下面 N 行:第 i 个节点的父亲。如果是根,则为 0
接下来 Q 行:op num
- op=1:在根放入
num个球 - op=2:拿走在位置
num的球
输出格式
保证输入合法
- op=1:输出最后一个球落到了哪里
- op=2:输出拿走那个球后有多少个球会掉下来
输入输出样例
输入#1
8 4 0 1 2 2 3 3 4 6 1 8 2 5 2 7 2 8
输出#1
1 3 2 2
说明/提示
对于 25% 的数据,每个节点有 0 或 2 个儿子,且所有叶子节点到根的距离相同。
对于另外 30% 的数据,操作 2 不会使球落下。
对于另外 40% 的数据,只有一个操作 1,并且是第一个操作。
对于所有数据,N,Q≤100 000.
翻译来自 abcdabcd987。