A90398.「NOI2011」道路修建
普及/提高-
通过率:0%
时间限制:2.00s
内存限制:256MB
题目描述
在 W 星球上有 n 个国家。为了各自国家的经济发展,他们决定在各个国家之间建设双向道路使得国家之间连通。但是每个国家的国王都很吝啬,他们只愿意修建恰好 n–1 条双向道路。
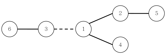
每条道路的修建都要付出一定的费用,这个费用等于道路长度乘以道路两端的国家个数之差的绝对值。例如,在下图中,虚线所示道路两端分别有 2 个、4 个国家,如果该道路长度为 1,则费用为 1×∣2–4∣=2。图中圆圈里的数字表示国家的编号。

由于国家的数量十分庞大,道路的建造方案有很多种,同时每种方案的修建费用难以用人工计算,国王们决定找人设计一个软件,对于给定的建造方案,计算出所需要的费用。请你帮助国王们设计一个这样的软件。
输入格式
输入的第一行包含一个整数 n,表示 W 星球上的国家的数量,国家从 1 到 n 编号。
接下来 n–1 行描述道路建设情况,其中第 i 行包含三个整数 ai、bi 和 ci,表示第 i 条双向道路修建在 ai 与 bi 两个国家之间,长度为 ci。
输出格式
输出一个整数,表示修建所有道路所需要的总费用。
输入输出样例
输入#1
6 1 2 1 1 3 1 1 4 2 6 3 1 5 2 1
输出#1
20
说明/提示
对于所有数据,保证 1≤ai,bi≤n,0≤ci≤106.
| 测试点编号 | n= |
|---|---|
| 1 | 2 |
| 2 | 10 |
| 3 | 100 |
| 4 | 200 |
| 5 | 500 |
| 6 | 600 |
| 7 | 800 |
| 8 | 1000 |
| 9 | 10,000 |
| 10 | 20,000 |
| 11 | 50,000 |
| 12 | 60,000 |
| 13 | 80,000 |
| 14 | 100,000 |
| 15 | 600,000 |
| 16 | 700,000 |
| 17 | 800,000 |
| 18 | 900,000 |
| 19 | 1,000,000 |
| 20 | 1,000,000 |