A85784.「NOIP2009」最优贸易
提高+/省选-
通过率:0%
时间限制:1.00s
内存限制:128MB
题目描述
C 国有 n 个大城市和 m 条道路,每条道路连接这 n 个城市中的某两个城市。任意两个城市之间最多只有一条道路直接相连。这 m 条道路中有一部分为单向通行的道路,一部分为双向通行的道路,双向通行的道路在统计条数时也计为 1 条。
C 国幅员辽阔,各地的资源分布情况各不相同,这就导致了同一种商品在不同城市的价格不一定相同。但是,同一种商品在同一个城市的买入价和卖出价始终是相同的。
商人阿龙来到 C 国旅游。当他得知同一种商品在不同城市的价格可能会不同这一信息之后,便决定在旅游的同时,利用商品在不同城市中的差价赚回一点旅费。设 C 国 n 个城市的标号从 1∼n,阿龙决定从 1 号城市出发,并最终在 n 号城市结束自己的旅行。在旅游的过程中,任何城市可以重复经过多次,但不要求经过所有 n 个城市。
阿龙通过这样的贸易方式赚取旅费:他会选择一个经过的城市买入他最喜欢的商品——水晶球,并在之后经过的另一个城市卖出这个水晶球,用赚取的差价当做旅费。由于阿龙主要是来 C 国旅游,他决定这个贸易只进行最多一次,当然,在赚不到差价的情况下他就无需进行贸易。
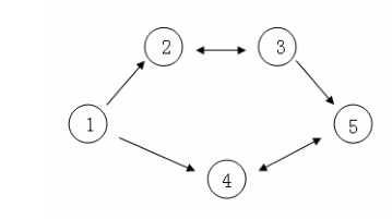
假设 C 国有 5 个大城市,城市的编号和道路连接情况如下图,单向箭头表示这条道路为单向通行,双向箭头表示这条道路为双向通行。

假设 1 ~ n 号城市的水晶球价格分别为 4,3,5,6,1 。
阿龙可以选择如下一条线路:1→2→3→5,并在 2 号城市以 3 的价格买入水晶球,在 3 号城市以 5 的价格卖出水晶球,赚取的旅费数为 2 。
阿龙也可以选择如下一条线路 1→4→5→4→5,并在第 1 次到达 5 号城市时以 1 的价格买入水晶球,在第 2 次到达 4 号城市时以 6 的价格卖出水晶球,赚取的旅费数为 5 。
现在给出 n 个城市的水晶球价格, m 条道路的信息(每条道路所连接的两个城市的编号以及该条道路的通行情况)。请你告诉阿龙,他最多能赚取多少旅费。
输入格式
输入第一行包含 2 个正整数 n 和 m,中间用一个空格隔开,分别表示城市的数目和道路的数目。
第二行 n 个正整数,每两个整数之间用一个空格隔开,按标号顺序分别表示这 n 个城市的商品价格。
接下来 m 行,每行有 3 个正整数, x,y,z ,每两个整数之间用一个空格隔开。如果 z=1,表示这条道路是城市 x 到城市 y 之间的单向道路;如果 z=2,表示这条道路为城市 x 和城市 y 之间的双向道路。
输出格式
输出共 1 行,包含 1 个整数,表示最多能赚取的旅费。如果没有进行贸易,则输出 0 。
说明/提示
输入数据保证 1 号城市可以到达 n 号城市。
对于10% 的数据,n≤6;
对于30% 的数据,n≤100;
对于50% 的数据,不存在一条旅游路线,可以从一个城市出发,再回到这个城市;
对于100% 的数据,1≤n≤100,000,1≤m≤500,000,1≤x,y≤n,1≤z≤2,1≤各城市水晶球价格≤100。