CFCF2178F.Conquer or of Forest
提高+/省选-
通过率:0%
AC君温馨提醒
该题目为【codeforces】题库的题目,您提交的代码将被提交至codeforces进行远程评测,并由ACGO抓取测评结果后进行展示。由于远程测评的测评机由其他平台提供,我们无法保证该服务的稳定性,若提交后无反应,请等待一段时间后再进行重试。
题目描述
定义有根树的独特装饰性染色如下:
- 当以顶点 v 为根的子树中的顶点个数是偶数时,将顶点 v 染为白色;
- 否则,将 v 染成黑色。
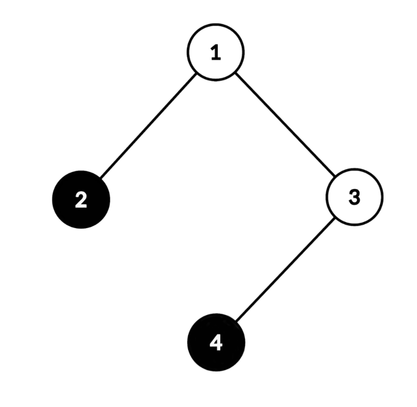
在征服圣诞树森林的征途上,Yuuki 遇到了一棵已被装饰性染色的树 T,该树有 n 个顶点,编号从 1 到 n,根为顶点 1。
Yuuki 认为一棵树被征服当且仅当下列任一条件成立:
- 树中不存在白色顶点,或
- 存在某个顶点 v,使得所有白色顶点都位于从根 1 到 v 的唯一路径上。
为了征服这棵树,Yuuki 可以任意次(也可以不做)进行如下操作:
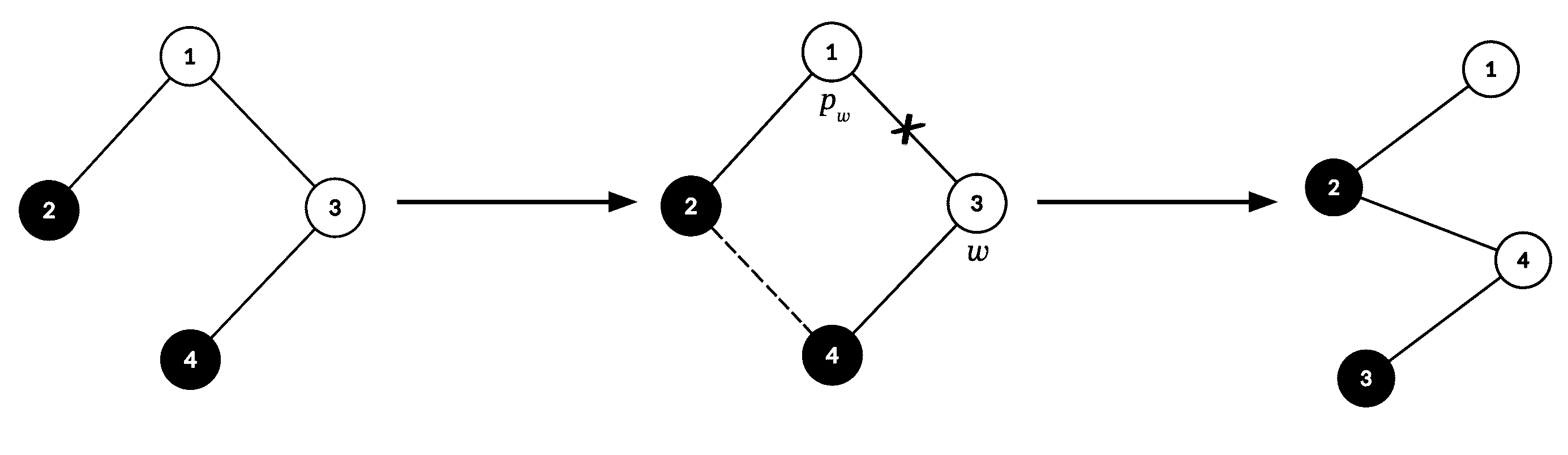
- 首先,选择一个染成白色且不是 T 根的顶点 w。设 pw 是 w 的父节点。
- 然后,移除连接 pw 和 w 的边,并在任意两顶点间添加一条边,前提是 T 依然是一棵树。
- 最后,重染 T 使其满足装饰染色规则。注意,T 总是以顶点 1 为根。

上图为第一组样例中操作的可能结果。生成的树被征服,因为所有白色顶点都在 1 到 3 的唯一路径上。
请计算通过任意次如上操作后,Yuuki 能够构造出的不同被征服树的数量。由于答案可能很大,请对 998244353 取模输出。
注意,Yuuki 不能中途终止一次操作(特别是,他必须在判断前对树重新染色)。另外,即使树已经被征服,Yuuki 依然可以继续操作。
注解:
- ∗ 树是一个无环连通图。
- † 顶点 v 的子树是由 v 及其所有后代和这些点之间的所有边组成的子图。
- ‡ 只有当一对顶点在其中一棵树中有一条边、在另一棵树中没有这条边时,两棵树才被认为是不同的。
输入格式
每组测试数据包含多组测试用例。第一行包含测试用例组数 t(1≤t≤104)。
每组测试数据第一行为一个整数 n(2≤n≤2⋅105),表示 T 的顶点数。
接下来 n−1 行,每行包含两个整数 ui 和 vi(1≤ui<vi≤n),表示第 i 条边连接 ui 和 vi。
保证所给的边构成一棵树。
保证所有测试用例的 n 之和不超过 2⋅105。
输出格式
对于每个测试用例,输出一个整数,表示能够从 T 构造出的不同被征服树的数量,对 998244353 取模。
输入输出样例
输入#1
5 4 1 2 1 3 3 4 5 1 2 1 3 1 4 1 5 5 1 2 2 3 1 4 4 5 6 1 2 2 3 2 4 2 6 5 6 11 2 10 6 8 1 6 3 7 5 11 5 8 5 9 4 7 6 7 2 6
输出#1
4 1 16 8 2048
说明/提示
在第一个测试用例中,下列给出了能构造的四棵被征服树及其操作序列:
| 说明 | 插图 |
|---|
- 零次操作。初始树已经被征服,因为所有白色顶点都在 1 到 4 的唯一路径上。 |

- 第一次也是唯一一次操作选择 w=3(pw=1),在 2 与 4 之间连边。新树已被征服,因为所有白色顶点都在 1 到 3 的唯一路径上。 |

- 第一次也是唯一一次操作选择 w=3(pw=1),在 2 与 3 之间连边。新树已被征服,因为所有白色顶点都在 1 到 3 的唯一路径上。 |

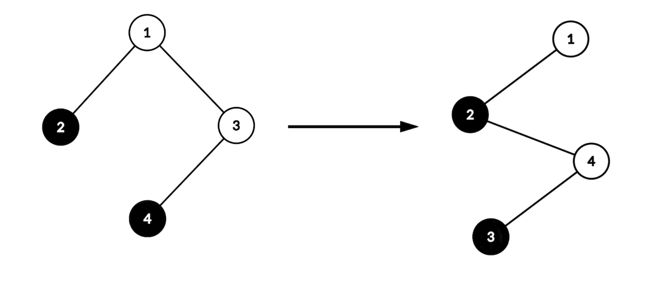
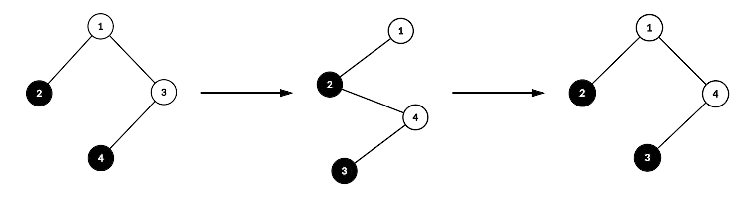
- 第一次操作选择 w=3(pw=1),在 2 与 4 之间连边。第二次操作选择 w=4(pw=2),在 1 与 4 之间连边。最终新树已被征服,因为所有白色顶点都在 1 到 4 的唯一路径上。 |

在第二组样例中,T 不存在白色顶点,因此无法进行操作。而 T 已经被征服,所以答案为 1。