CFCF2176D.Fibonacci Paths
普及+/提高
通过率:0%
AC君温馨提醒
该题目为【codeforces】题库的题目,您提交的代码将被提交至codeforces进行远程评测,并由ACGO抓取测评结果后进行展示。由于远程测评的测评机由其他平台提供,我们无法保证该服务的稳定性,若提交后无反应,请等待一段时间后再进行重试。
题目描述
给定一个包含 n 个顶点和 m 条边的有向图。每个顶点 v 上对应一个正整数 av。请你统计所有由至少两个顶点组成的不同简单路径,使得沿路径经过顶点的数字序列构成一个广义斐波那契数列。
在本题中,若数列 x0,x1,…,xk 满足以下条件,则称其为广义斐波那契数列:
- x0,x1 为任意自然数。
- 对所有 2≤i≤k,都有 xi=xi−2+xi−1。
注意,广义斐波那契数列至少包含两个数字。
由于答案可能很大,输出其对 998244353 取模的结果。
一个简单路径指在有向图中按顺序经过顶点 v1,v2,…,vk,且所有顶点至多出现一次,并且对于所有 i<k,存在从 vi 到 vi+1 的有向边。
输入格式
每个测试点包含若干组测试数据。第一行为测试数据组数 t(1≤t≤104)。每组测试数据包括:
第一行,两个整数 n 和 m(2≤n≤2⋅105,1≤m≤2⋅105)——图中顶点数和边数。
第二行为 n 个正整数 a1,a2,…,an(1≤ai≤1018)——每个顶点上的数字。
接下来 m 行,每行两个正整数 v,u(1≤v,u≤n,u=v),表示一条从 v 到 u 的有向边。保证不存在重边。
保证所有测试数据中 n 的总和与 m 的总和不超过 2×105。
输出格式
对于每组测试数据,输出广义斐波那契路径的数量,对 998244353 取模。
输入输出样例
输入#1
4 4 4 3 4 3 6 1 2 1 3 2 4 3 4 4 6 1 1 1 2 1 2 2 3 3 1 1 4 2 4 3 4 8 11 2 4 2 6 8 10 18 26 1 2 2 3 3 1 4 3 2 4 3 5 5 6 4 6 6 7 7 5 5 8 2 2 10 10 1 2 2 1
输出#1
5 9 24 2
说明/提示
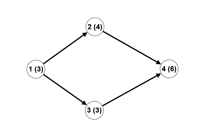
第一个样例的解释(顶点编号在括号外,顶点上的数字在括号内):

本例中共有 5 条广义斐波那契路径:(1, 2), (1, 3), (2, 4), (3, 4), (1, 3, 4)。例如,路径 (1, 3, 4) 沿途顶点上的数字序列为:[3, 3, 6],可以看到第三个数字等于前两个数字之和。
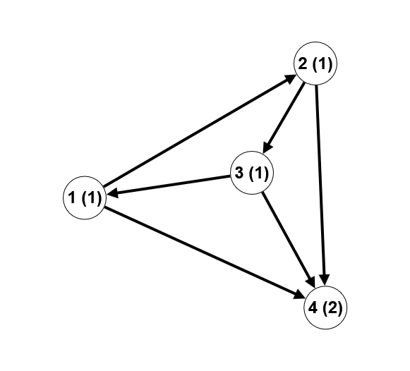
第二个样例的解释:

本例中共有 9 条广义斐波那契路径:(1, 2), (1, 4), (2, 3), (2, 4), (3, 1), (3, 4), (1, 2, 4), (2, 3, 4), (3, 1, 4)。注意,路径 (1, 2, 3) 上的数字序列为:[1, 1, 1],这不是广义斐波那契数列。