CFCF2194F2.Again Trees... (hard version)
省选/NOI-
通过率:0%
AC君温馨提醒
该题目为【codeforces】题库的题目,您提交的代码将被提交至codeforces进行远程评测,并由ACGO抓取测评结果后进行展示。由于远程测评的测评机由其他平台提供,我们无法保证该服务的稳定性,若提交后无反应,请等待一段时间后再进行重试。
题目描述
这是该问题的困难版本。不同之处在于本版本中 k≤10。只有在你完成了所有版本的本题后,才可以进行 hack。
给定一棵包含 n 个顶点的树。每个顶点上写有一个非负整数 av。同时给定 k 个互不相同的非负整数 b1,…,bk。
我们称一组边为美丽的,如果在移除这些边后,树被分成若干连通块,并且每个连通块内所有顶点的数 av 的按位异或值属于集合 b。
你需要计算该树中美丽的边集的数量,对 109+7 取模。
输入格式
每个测试数据包含多个测试用例。第一行包含测试用例数量 t(1≤t≤500)。随后是各个测试用例的描述。
每组数据的第一行包含两个整数 n 和 k(2≤n≤105,1≤k≤10)——树上的顶点数和集合 b 的大小。
接下来的 n−1 行描述树的边。第 i 行包含两个整数 vi 和 ui(1≤vi,ui≤n)——表示第 i 条边连接的两个顶点。
接下来一行包含 n 个整数 a1,a2,…,an(0≤ai<230)——每个顶点上的值。
最后一行包含 k 个互不相同的整数 b1,b2,…,bk(0≤bi<230)——集合 b 中的元素。
保证所有测试数据中 n 的总和不超过 105。
输出格式
对于每个测试用例,输出一个整数,表示美丽边集的数量。
输入输出样例
输入#1
4 5 1 1 2 1 3 3 4 2 5 0 2 2 3 3 1 5 1 4 5 1 2 3 1 3 5 0 0 2 0 2 0 5 2 1 2 1 3 3 4 2 5 0 2 2 3 3 1 3 4 1 1 2 2 3 3 4 1 1 1 1 1
输出#1
2 8 4 3
说明/提示
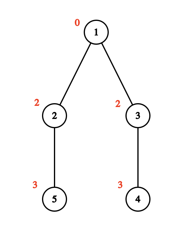
下图为第一个测试用例的示意图。在该示例中,你可以删除顶点 1 和 2 之间的边。此时,由顶点 2 和 5 组成的连通块的异或值为 a2⊕a5=2⊕3=1。由顶点 1、3 和 4 组成的连通块的异或值为 a1⊕a3⊕a4=0⊕2⊕3=1。第二种美丽集合是只删除连接顶点 1 和 3 的那条边。

在第三个测试用例中,美丽边集为(用一对顶点表示边):[(1,2)],[(1,3)],[(2,5)],[(3,4)]。注意前两个样例唯一不同之处是集合 b。
在第四个测试用例中,美丽边集为:[(1,2)],[(3,4)],[(1,2),(2,3),(3,4)]。