CFCF2194F1.Again Trees... (Easy Version)
提高+/省选-
通过率:0%
AC君温馨提醒
该题目为【codeforces】题库的题目,您提交的代码将被提交至codeforces进行远程评测,并由ACGO抓取测评结果后进行展示。由于远程测评的测评机由其他平台提供,我们无法保证该服务的稳定性,若提交后无反应,请等待一段时间后再进行重试。
题目描述
这是本题的简单版本。各版本的区别在于本版本中 k≤4。只有在你解决了本题所有版本后才能进行 hack。
给定一个包含 n 个结点的树。每个结点都写有一个非负整数 av。另外,还给定 k 个互不相同的非负整数 b1,…,bk。
我们称一个边集是“美丽的”,如果把这些边从树中移除后,树被分成若干连通块,并且每个连通块内所有结点 av 的按位异或值属于集合 b。
你需要计算树中美丽的边集有多少个,结果对 109+7 取模。
输入格式
每个测试点包含多组数据。第一行包含测试组数 t(1≤t≤500)。每组数据的描述如下。
每组数据的第一行为两个整数 n 和 k(2≤n≤105,1≤k≤4),分别表示树的结点数和集合 b 的大小。
接下来 n−1 行,每行两个整数 vi 和 ui(1≤vi,ui≤n),表示第 i 条边连接的两个结点编号。
接下来一行包含 n 个整数 a1,a2,…,an(0≤ai<230),表示每个结点上写的值。
最后一行包含 k 个互不相同的整数 b1,b2,…,bk(0≤bi<230),表示集合 b 的元素。
保证所有测试点中 n 的总和不超过 105。
输出格式
对于每组测试数据,输出一个整数,表示美丽的边集数量。
输入输出样例
输入#1
4 5 1 1 2 1 3 3 4 2 5 0 2 2 3 3 1 5 1 4 5 1 2 3 1 3 5 0 0 2 0 2 0 5 2 1 2 1 3 3 4 2 5 0 2 2 3 3 1 3 4 1 1 2 2 3 3 4 1 1 1 1 1
输出#1
2 8 4 3
说明/提示
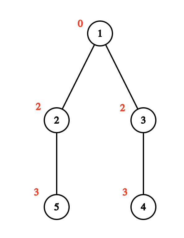
以下是第一个测试点的示意图。在这个点中,你可以移除结点 1 和 2 之间的边。这样,包含结点 2 和 5 的连通块中的按位异或为 a2⊕a5=2⊕3=1;包含结点 1、3、4 的连通块的异或为 a1⊕a3⊕a4=0⊕2⊕3=1。第二种美丽的边集是仅包含 1 和 3 之间的边。

在第三个测试点,美丽的边集包括(用边连接的顶点对表示):[(1,2)],[(1,3)],[(2,5)],[(3,4)]。注意,前两个样例仅仅集合 b 不同。
在第四个测试点,美丽的边集为:[(1,2)],[(3,4)],[(1,2),(2,3),(3,4)]。