CFCF2195G.Idiot First Search and Queries
提高+/省选-
通过率:0%
AC君温馨提醒
该题目为【codeforces】题库的题目,您提交的代码将被提交至codeforces进行远程评测,并由ACGO抓取测评结果后进行展示。由于远程测评的测评机由其他平台提供,我们无法保证该服务的稳定性,若提交后无反应,请等待一段时间后再进行重试。
题目描述
本题与 E 题使用相同的定义。但本题并不要求与 E 题相同的答案。
有一棵包含 n+1 个顶点的二叉树(n 为奇数),顶点编号为 0,1,…,n。每个顶点上最多可以写一个字母,一开始所有顶点上都没有写字母。树的根节点是顶点 0。
在树中,顶点 0 是顶点 1 的父节点,其余顶点要么有 2 个子节点,要么没有子节点。
Bob 迷失在树的某个顶点,他希望通过到达顶点 0 的方式逃出树。对于大多数有常识的人来说,这很容易。但由于 Bob 很笨,他发明了一种全新的遍历树的方法,被称为“笨蛋优先遍历法”("Idiot First Search")。
当 Bob 处于顶点 v 时(1≤v≤n),他按照如下规则移动:
- 如果顶点 v 是叶节点,Bob 总是移动到 v 的父节点;否则,继续判断以下情况。
- 如果顶点 v 上什么都没写,Bob 在顶点 v 上写下 'L',并移动到 v 的左儿子;
- 如果顶点 v 上写有字母 'L',Bob 将其覆盖为 'R',并移动到 v 的右儿子;
- 如果顶点 v 上写有字母 'R',Bob 擦除它,移动到 v 的父节点。
Bob 移动到相邻顶点每次正好需要 1 秒,因此进行 x 次移动总共需要 x 秒。
已经证明,无论 Bob 从哪一个顶点出发,都能在有限(尽管可能非常大)的时间内到达顶点 0。我们不知道是谁证明了这点,肯定不是 Bob,但这一点确实被证明了。
你需要回答 q 个如下类型的询问:
- vk:假设 Bob 从顶点 v 出发,恰好经过 k 次移动后,Bob 处于哪个顶点(1≤v≤n)。
对于每个询问,设 Tv 表示 Bob 从顶点 v 到达顶点 0 的所需时间。保证每个询问 k<Tv。
输入格式
每个测试点包含多组测试用例。第一行包含测试用例数量 t(1≤t≤104)。接下来是每组测试用例的数据。
每个测试用例的第一行包含整数 n 和 q(1≤n≤300001,1≤q≤400000,n 为奇数)。
接下来的 n 行,每行包含两个整数 li 和 ri,分别为顶点 i 的左右子节点编号(0≤li,ri≤n)。
对于每个顶点,如果 li=ri=0,则表示该顶点没有子节点。否则,li 和 ri 分别为顶点 i 的左儿子和右儿子。
接下来的 q 行,每行包含两个整数 vj 和 kj,表示第 j 个询问(1≤vj≤n,0≤kj<min(109+7,Tvj))。
保证输入描述的是一棵合法的二叉树,满足题目中所述的条件。
且所有测试用例中的 n 之和不超过 300001。
所有测试用例中的 q 之和不超过 400000。
输出格式
对于每个测试用例,按询问顺序依次输出每个询问的答案,每个测试用例输出一行。
输入输出样例
输入#1
3 1 1 0 0 1 0 5 5 2 3 0 0 4 5 0 0 0 0 3 6 3 8 3 11 4 7 5 8 7 7 2 3 4 5 0 0 6 7 0 0 0 0 0 0 1 9 2 18 3 11 3 12 3 13 5 7 7 17
输出#1
1 2 3 5 2 1 2 2 1 3 1 2 4
说明/提示
在第一个测试用例中,只有两个顶点,顶点 0 和顶点 1。很显然,Bob 从顶点 1 出发经过 0 次移动后仍在顶点 1。
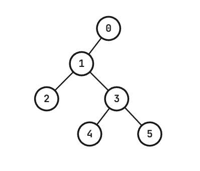
在第二个测试用例中,树结构如下:

Bob 从顶点 3 出发到达顶点 0 需要 14 秒。具体移动过程如下:
3L4X3R5X3X1L2X1R3L4X3R5X3X1X0
其中,箭头上方的字母表示移动前顶点上的字母,X 表示该顶点上没有写字母。
如红色标出:
- Bob 从顶点 3 出发,进行 6 次移动后,Bob 在顶点 2;
- Bob 从顶点 3 出发,进行 8 次移动后,Bob 在顶点 3;
- Bob 从顶点 3 出发,进行 11 次移动后,Bob 在顶点 5。